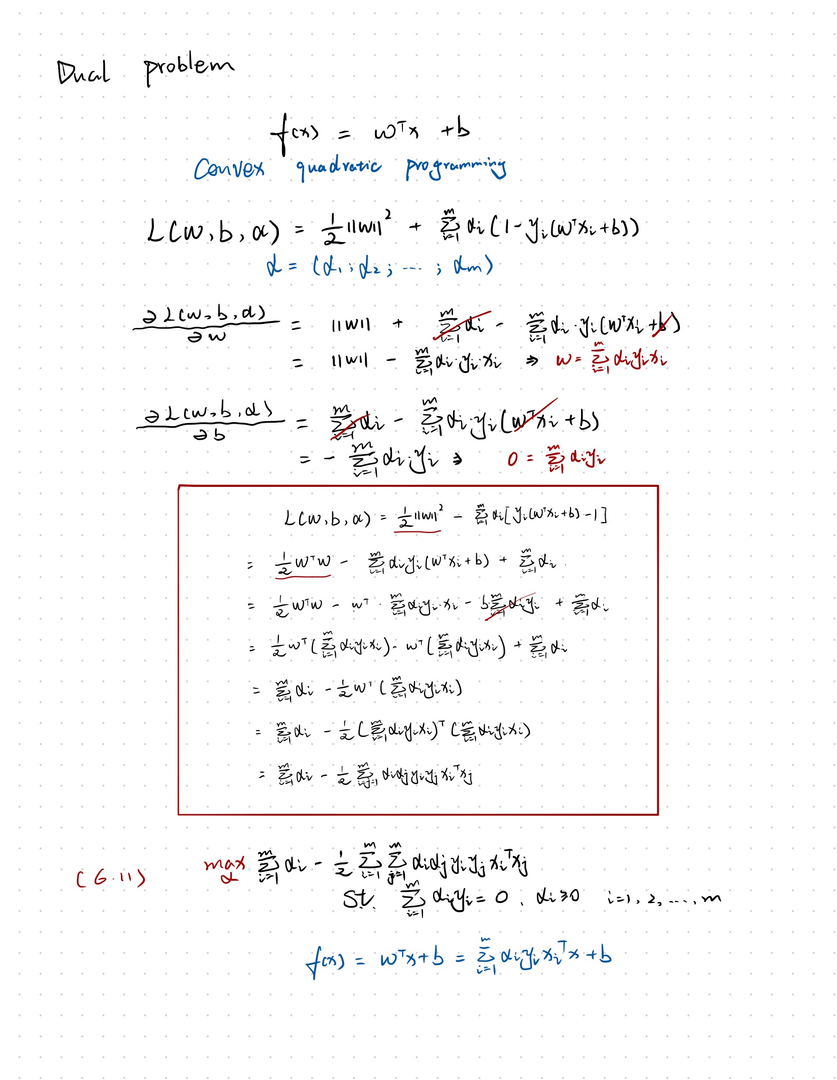
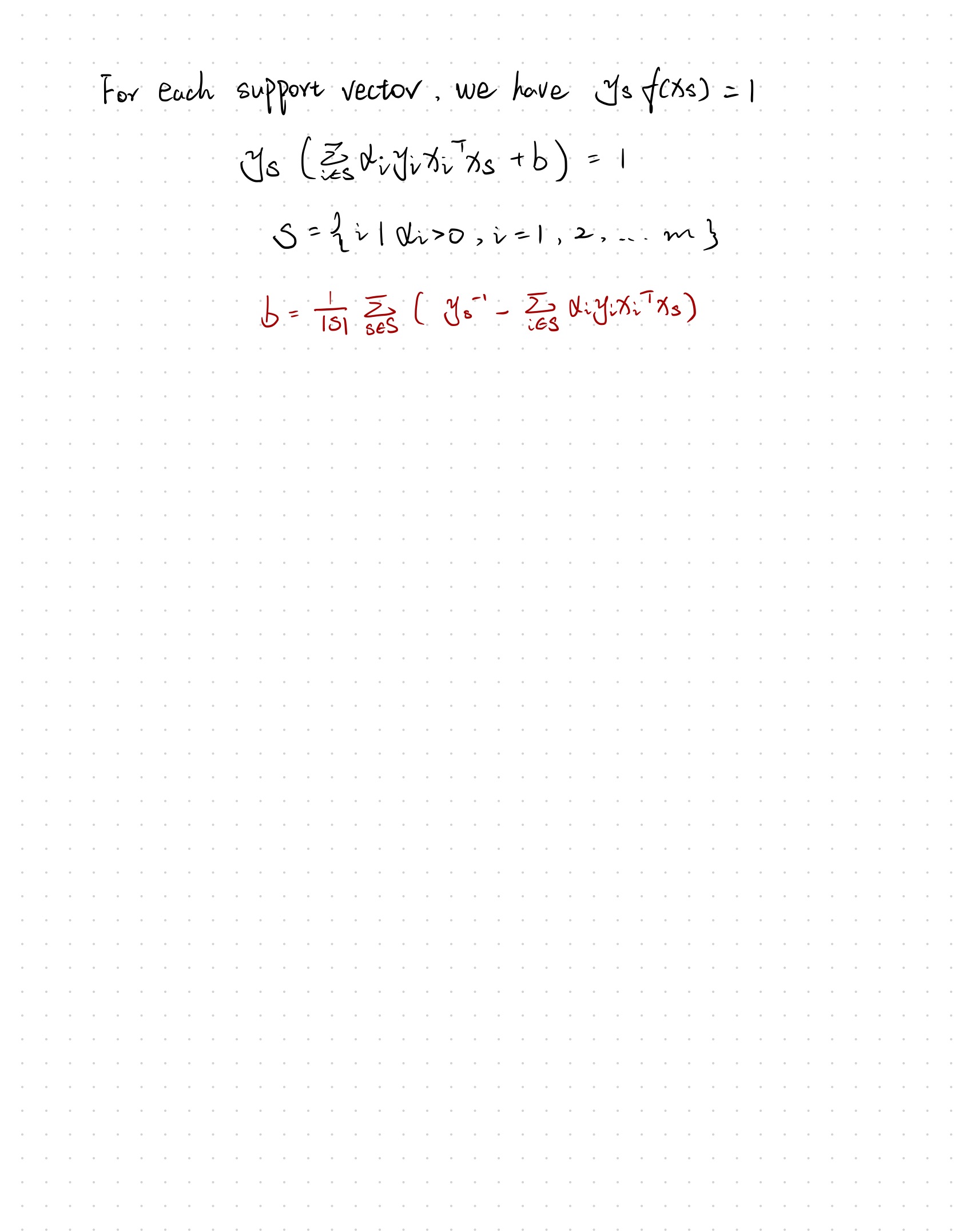
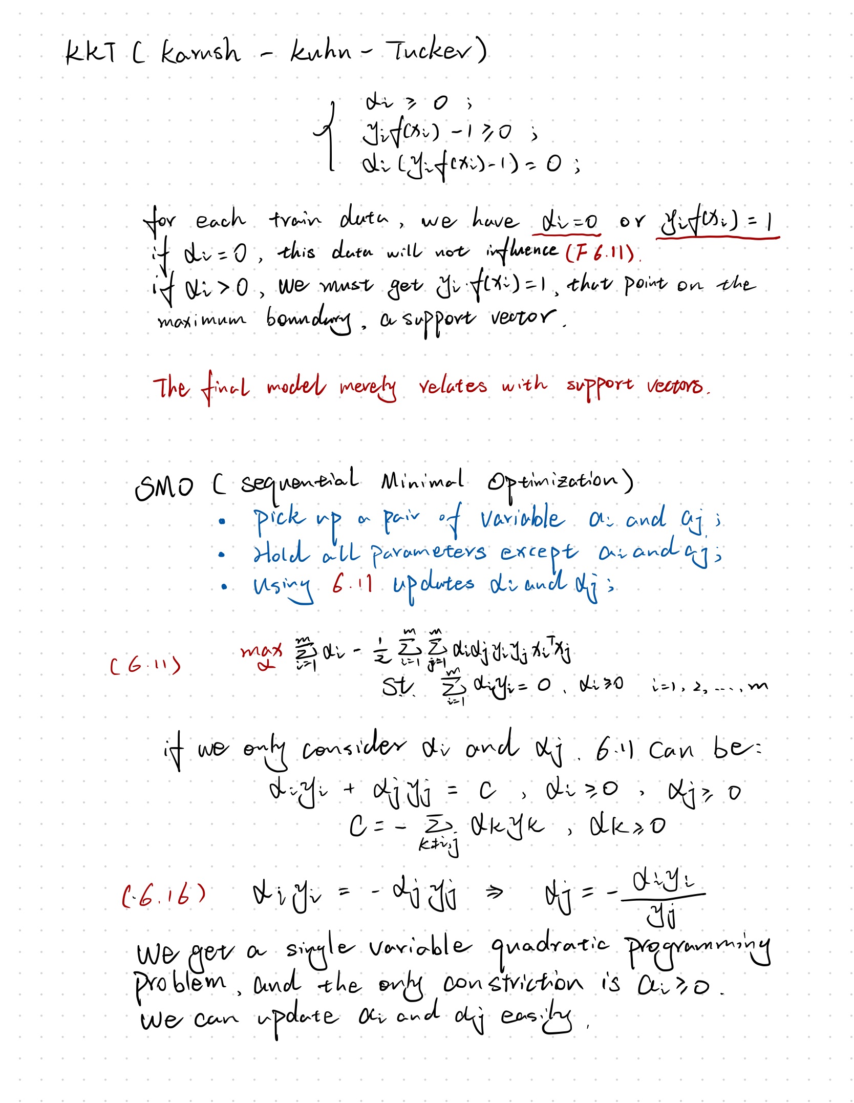
Support Vector Machine (SVM)




Enjoy Reading This Article?

Here are some more articles you might like to read next:

  • Resillience
  • Multi-Head Attention
  • Preference Alignment 101
  • Challenges in Code Generation
  • PREDICTING AND OPTIMIZING LLVM COMPILER PASS ORDER