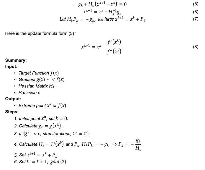
Newton’s method
How highly productive I am…
I just recently completed this post on an online Latex editor, that has a really impressive AI inference formula system. It is pretty good except that I don’t know how to elegantly export content as SVG~


Enjoy Reading This Article?
Here are some more articles you might like to read next: