Expected Value about Normal Distribution
I could have completed this post in the last month, however I was too exhausted to write this article yesterday (the last day of Feb).
Recently, I am addicted in Probability & Statistics theorem and calculus. I found there is a lot of interesting formula derivation about Normal Distribution (aka Gaussian Distribution), so I’d like to proof it by myself. Here are several methods I tried:
The first formula is the expected value of lognormal distribution. We know, for a continuous function:

And the Probability Density Function (PDF) of lognormal distribution function is:

Hence, we have:






Because of,


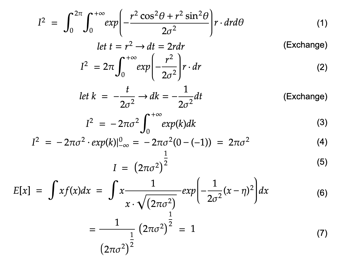
For now, we are going to proof the above formula, that why the integral of normal distribution is 1.
We define:


And we convert the Cartesian coordinates to polar coordinates:



Enjoy Reading This Article?
Here are some more articles you might like to read next: